Dernières infos :  

01/04/2026 Mise à jour des tableaux d'analyses décadaires : rubrique climatologie
03/04/2026 Mise en ligne de la synthèse climatologique de Mars 2026 : cliquez ICI
01/04/2026 Mise à jour des tableaux d'analyses décadaires, mensuelles et annuelles : rubrique climatologie
  

NOAA COMPLET DU MOIS

Sur Smartphone et certaines tablettes préférer un affichage en mode paysage pour plus de confort.
 Avec le doigt faire défiler le corps du tableau.

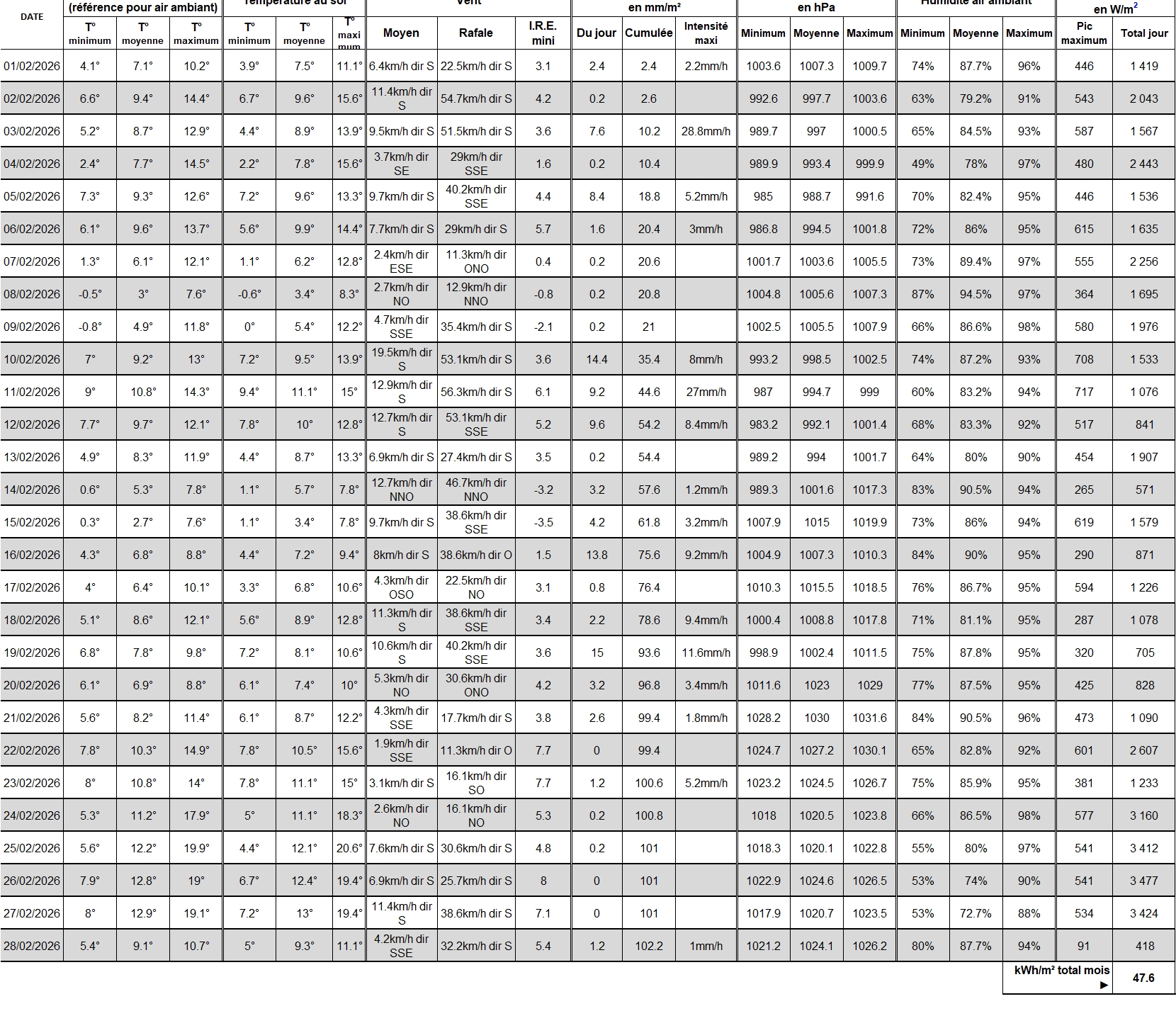
TABLEAU DES DONNEES COMPLETES NOAA de FEVRIER 2026
ENTETE.jpg

TABLEAU NOAA FEVRIER.jpg


Date de création : 01/03/2026 10:03
Catégorie : - MOIS PASSES - FEVRIER 2026
Page lue 379 fois

Réactions à cet article

Personne n'a encore laissé de commentaire.
Soyez donc le premier !